Contoh Soal Integral Tentu Dan Jawaban

Contoh Soal Integral Tentu Dan Jawaban

Contoh Soal Integral Tentu Dan Jawaban. Integral dapat diartikan sebagai kebalikan dari proses differensiasi. Demikian beberapa latihan soal integral tentu, integral tak tentu, integral parsial beserta pembahasannya.

Integral Tentu: Contoh Soal dan Pambahasan - Mathematics
Integral Tentu: Contoh Soal dan Pambahasan - Mathematics (Allie Pope)
Dari hasil a dan b, apa kesimpulan kalian? Materi StudioBelajar.com lainnya Kunci jawaban latihan soal. Jawaban : Dari contoh-contoh di atas maka dapat dituliskan.

Magazine: Kunci Jawaban Latihan Soal Integral tak Tentu.

Integral Tentu: Contoh Soal dan Pambahasan.

Pengertian Rumus Integral Tentu Dan Tak Tentu Contoh Soal

Contoh Soal dan Jawaban Energi Kinetik dan Potensial ...

Contoh Soal Dan Jawaban SEJARAH KEBUDAYAAN INDONESIA ...

10 Contoh Soal Integral Tak Tentu Pilihan Ganda

CONTOH SOAL DAN JAWABAN PROCEDURE TEXT – BukuInggris.Co.Id

Contoh Soal Pengetahuan Umum Beserta Kunci Jawaban

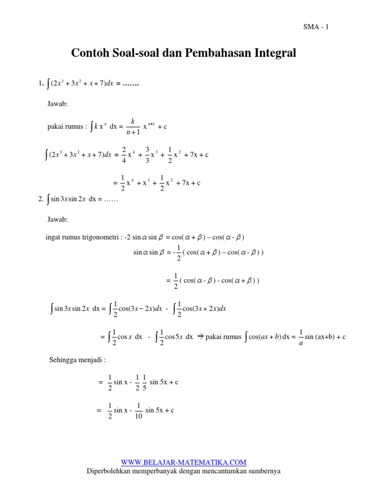
Contoh-Contoh Soal Dan Pembahasan Integral Untuk SMA

Contoh Soal Integral Tentu Dan Penyelesaiannya - Contoh ...

Kumpulan Contoh Soal: Contoh Soal Integral Tak Tentu Dan ...

Semoga dengan latihan soal di atas bisa bermanfaat untuk meningkatkan kemampuan dalam menyelesaikan soal-soal integral. Contoh soal dan jawaban tentang ppn. Berikut ini merupakan soal dan pembahasan mengenai perhitungan integral tentu beserta penerapan sifat-sifat integral dasar.

Share:

Posting Lainnya:

Disqus Comments